J.B. Fleming
“Comecei a ficar chapado e então toda a porra do Cosmos se soltou ao meu redor”
– Allen Ginsberg
Durante a década de 1920, etnógrafos retornando da selva amazônica deram relatos estranhos de xamãs tribais que usavam uma droga vegetal que aumentava a telepatia e direcionava o curso de suas sociedades. A droga era uma bebida alucinógena que tinha vários nomes nativos diferentes, incluindo Ayahuasca, Yage, Caapi e Natema. É fabricada a partir de uma espécie de videira lenhosa chamada Banisteriopsis, juntamente com várias misturas que comumente incluíam as folhas de Banisteriopsis rusbyana, Psychotria viridis e Brugmansia.
Usuários nativos de ayahuasca relataram ter alucinações coletivas de onças, cobras e pássaros com joias. Essas visões eram frequentemente acompanhadas de contato com ancestrais mortos, a capacidade de ver eventos futuros e comunicação telepática entre membros tribais. Os efeitos secundários incluíram respostas sexuais aumentadas, vômitos e diarréia. Os efeitos purgativos da ayahuasca também a tornaram útil como medicamento geral para estimular a saúde e combater doenças.
Os toxicologistas ficaram fascinados com a droga e logo extraíram o composto ativo da videira Banisteriopsis, dando-lhe o nome de Telepathine. No entanto, na década de 1930, o interesse pela pesquisa em etnofarmacologia se desvaneceu e o assunto foi deixado de lado. O caso da ayahuasca foi reaberto em 1957, quando os pesquisadores descobriram que a telepatina era na verdade Harmina, um dos vários compostos da família de alucinógenos betacarbolina. Alcaloides secundários chamados Harmalina e Tetrahidroharmina também foram identificados.
As betacarbolinas foram isoladas pela primeira vez em 1841 a partir das sementes de Peganum harmala, uma erva pequena e espessa conhecida como arruda síria que cresce ao longo do Mediterrâneo e em toda a Ásia Central. Também é relatado que escapou do cultivo e agora pode ser encontrado em todo o sudoeste americano. Os povos do Oriente Médio há muito usam a arruda síria como remédio popular e para o corante vermelho único encontrado nos tapetes turcos e persas. Os egípcios empregavam as sementes como afrodisíacos e a planta foi considerada uma possível (embora improvável) candidata ao misterioso Soma descrito no Rig-Veda. Desde então, as betacarbolinas foram identificadas em várias outras plantas, incluindo passiflora (Passiflora incarnata), tabaco (Nicotiana rustica) e até mesmo dentro da glândula pineal humana.
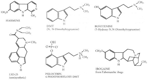
As betacarbolinas são membros da família de alcalóides indólicos, que incluem as drogas como LSD, psilocibina, DMT, bufotenina e ibogaína. Curiosamente, as betacarbolinas nunca foram classificadas como substâncias ilegais. Todos os indólicos possuem uma semelhança estrutural com os neurotransmissores serotonina e dopamina. No entanto, as betacarbolinas têm uma qualidade única chamada inibição da MAO (monoamina oxidase) que as diferencia de outros psicodélicos.
A MAO é uma enzima produzida no corpo humano que desempenha várias funções reguladoras. Dentro dos terminais nervosos dos neurônios de norepinefrina, dopamina e serotonina, a MAO atua para modular a quantidade de neurotransmissor presente. A MAO se liga aos transmissores e os desativa, evitando o acúmulo excessivo de neurotransmissores nas sinapses nervosas. A MAO também é responsável por desativar muitas das toxinas presentes nos alimentos que comemos. A tiramina é um exemplo de uma toxina encontrada em muitos alimentos comuns, incluindo queijo envelhecido, vinho tinto, arenque em conserva, figos e fermento. Sem a presença da MAO para inativa-la, o consumo de tiramina seria seguido por um aumento grave e possivelmente fatal da pressão arterial.
Além dos efeitos psicoativos das betacarbolinas, eles também são poderosos inibidores da MAO de curto prazo. Durante as seis a oito horas que a viagem de betacarbolina dura, a atividade da MAO é suprimida, permitindo que a serotonina se acumule nas sinapses dos neurônios. Essa ação pode ser responsável por alguns de seus efeitos mentais. Isso também significa que o corpo é vulnerável a quaisquer toxinas que possam ser consumidas.
Os índios sul-americanos aprenderam a aproveitar essa condição adicionando plantas contendo DMT à mistura de ayahuasca. Normalmente o DMT é inativo quando tomado por via oral. Até um grama deste poderoso psicodélico pode ser consumido sem nenhum efeito perceptível. No entanto, quando combinado com betacarbolinas, o DMT é absorvido pelo estômago e sua ação normalmente curta se estende por várias horas. Embora os princípios da inibição da MAO não tenham sido descritos pela ciência ocidental até a década de 1950, os índios a exploraram por centenas de anos.
Experimentos ocidentais com betacarbolinas

Na década de 1960, o psiquiatra chileno Claudio Naranjo realizou uma série de experimentos usando harmalina pura por via intravenosa. Ele relatou seu efeito em seu livro The Healing Journey como produzindo imagens mentais vívidas que tomaram a forma de sequências oníricas acompanhadas de sedação física e náusea. Seus sujeitos, todos de origem urbana, frequentemente descreviam as mesmas imagens de cobras, trepadeiras, onças e pássaros na selva que os usuários nativos de ayahuasca relataram. Outros pesquisadores a partir de Naranjo concluímos que as betacarbolinas, quando tomadas por via oral, não produzem um estado psicodélico, exceto em doses quase tóxicas. Em vez disso, eles parecem criar um estado mental nebuloso e sonhador, juntamente com uma condição letárgica desconfortável, mais próxima dos tranquilizantes do que dos psicodélicos.
Parece que o valor real das betacarbolinas não está em seus efeitos psicoativos, mas em sua capacidade de potencializar outras substâncias psicodélicas. Ao longo dos anos tem havido inúmeros relatos desta qualidade potencializadora. No livro de Terence e Dennis McKenna, The Invisible Landscape e seu livro companheiro True Hallucinations, de Terence McKenna, os efeitos de uma combinação de Banisteriopsis e Psilocybe cubensis são descritos. Em uma série de eventos que culminou no que eles chamaram de “O Experimento em La Chorrera”, os irmãos beberam uma infusão de cipó Banisteriopsis fervido e consumiram cogumelos Psilocybe suplementados com lascas secas de Banisteriopsis. O que resultou foi uma experiência espetacular de um mês de duração de natureza extremamente bizarra, que deveria ser contada pelos McKenna.
Outro conjunto de experimentos usando betacarbolinas para sinergizar DMT foi realizado por “Gracie e Zarkov”. Sua coleção de relatórios intitulada Notes from the Underground detalha o uso de betacarbolinas para prolongar e intensificar os efeitos do DMT sintético, psilocibina e LSD. Seu procedimento era extrair betacarbolinas de videiras de Banisteriopsis, Passiflora e sementes de arruda síria. Após a secagem, os extratos foram defumados e seguidos por DMT ou outros psicodélicos indólicos. Os efeitos dos extratos de betacarbolina quando tomados isoladamente são descritos como “… não particularmente psicodélicos ou alucinógenos. A pessoa se sente calma. …Em doses mais altas, tonturas e náuseas surgem com muito pouco aumento na alta. Fechado os olhos as imagens oculares são, na melhor das hipóteses, hipnagógicas.”
Jim DeKorne em seu livro Psychedelic Shamanism também analisa a ação potencializadora das betacarbolinas. Trabalhando com “Mushroom Ayahuasca”, uma combinação de extrato de arruda síria com Psilocybe cubensis, DeKorne descreve seus efeitos como; “Isso não é de forma alguma um composto ‘recreativo’… A pessoa é simplesmente ‘achatada’ pela mistura. Como a maioria das experiências autênticas de ayahuasca, alguns distúrbios gastrointestinais são comuns, mas então a consciência da pessoa está tão profundamente transformada, que náuseas e vômitos são de alguma forma irrelevantes.”
Existe a possibilidade de que “análogos” da ayahuasca possam ser criados usando plantas encontradas na América do Norte. O objetivo é tornar o DMT encontrado em certas plantas oralmente ativo, combinando-os com doses limite de inibidores da MAO de curto prazo, como as betacarbolinas. Jonathan Ott fornece muitas informações sobre misturas experimentais de ayahuasca em seus livros Pharmacotheon and Ayahuasca Analogues. Os experimentos detalhados de Ott usando harmina extraída de sementes de arruda síria e DMT mostram claramente que o DMT pode ser ativado por via oral quando combinado com baixas doses de betacarbolinas. No entanto, uma fonte adequada para DMT puro é problemática. Muita pesquisa ainda deve ser feita nesta área.
Com o tempo, os pesquisadores não acadêmicos encontrarão uma planta legal e facilmente obtida que contém DMT. Isso permitirá que os usuários domésticos criem o que Dennis McKenna chama de Ayahuasca borealis, o equivalente norte-americano da lendária ayahuasca amazônica. Uma vez que esta técnica seja aperfeiçoada, será possível para qualquer pessoa explorar a experiência psicodélica livre do estigma da atividade criminosa e do trafico de drogas.
IMPORTANTE: Os princípios da inibição da MAO são extremamente complexos e potencialmente perigosos. As informações apresentadas neste artigo são altamente especulativas. A auto-experimentação não é recomendada.
Referências e Sugestão de Leitura
- The Yage Letters by William S. Burroughs & Allen Ginsberg
- Psychedelic Shamanism by Jim DeKorne
- Hallucinogens by Marlene Dobkin De Rios
- Hallucinogens and Culture by Peter T. Furst
- Notes From The Underground by Gracie & Zarkov
- The Invisible Landscape by Terence and Dennis McKenna
- True Hallucinations by Terence McKenna
- The Archaic Revival by Terence McKenna
- The Healing Journey by Claudio Naranjo
- Ayahuasca Analogues by Jonathan Ott
- Pharmacotheon by Jonathan Ott
- Plants of the Gods by Richard Evans Schultes and Albert Hofmann
- Psychedelics Encyclopedia by Peter Stafford
- The Natural Mind by Andrew Weil
- The Marriage of the Sun and Moon by Andrew Weil








